Теоретические основы частоты вращения электродвигателей
Синхронная и асинхронная частота вращения
Для корректного понимания работы электрических машин необходимо различать два фундаментальных понятия:
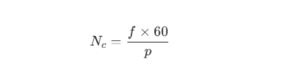
Синхронная частота вращения (Nc) — теоретическая скорость вращения магнитного поля статора, рассчитывается по формуле:
Асинхронная частота вращения (Nф) — фактическая скорость вращения ротора, всегда меньше синхронной на величину скольжения.
Скольжение как основная характеристика асинхронного двигателя
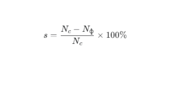
Скольжение характеризует разность между синхронной и фактической частотой вращения:
Критически важно понимать, что скольжение не является недостатком — это принципиальная особенность асинхронных машин, обеспечивающая создание крутящего момента. Типичные значения скольжения составляют:
Стандартные частоты вращения и области применения
Приведенные значения фактической частоты являются типичными и могут варьироваться в зависимости от конкретной модели двигателя и условий нагрузки.
|
Число пар полюсов
|
Синхронная частота (об/мин)
|
Типичная фактическая частота (об/мин)
|
Типовые применения
|
|
1
|
3000
|
2910-2940
|
Высокоскоростные насосы, шлифовальные шпиндели, центрифуги
|
|
2
|
1500
|
1440-1460
|
Металлообрабатывающие станки, конвейеры, вентиляторы
|
|
3
|
1000
|
950-970
|
Грузоподъемные механизмы, дробилки, мешалки
|
|
4
|
750
|
710-730
|
Тяжелые конвейеры, мельницы, промышленные прессы
|
|
6
|
500
|
470-490
|
Поршневые компрессоры, шнековые транспортеры
|
Методы регулирования частоты вращения
1. Частотное регулирование (ЧРП)
Частотные преобразователи — наиболее эффективный современный способ управления скоростью асинхронных двигателей.
Основные типы управления:
-
Скалярное управление (U/f = const): простота настройки, подходит для вентиляторных и насосных нагрузок
-
Векторное управление без датчика: высокий момент на низких скоростях, точность ±0,5-1%
-
Векторное управление с энкодером: максимальная точность позиционирования, работа в четырех квадрантах
Технические характеристики современных ЧРП:
-
Диапазон выходных частот: 0,1-400 Гц
-
Точность регулирования: ±0,01% от максимальной частоты для высокоточных применений
-
Перегрузочная способность: 150% номинального тока в течение 60 с
-
Время разгона/торможения: от 0,01 с до 50 мин
2. Регулирование изменением числа полюсов
Ступенчатое регулирование путем переключения обмоток статора.
Характеристики:
3. Регулирование напряжением питания
Особенности применения:
-
Диапазон регулирования: 20-30% от номинальной скорости
-
Снижение КПД при уменьшении напряжения
-
Применяется для простых вентиляторных нагрузок
Влияние частоты вращения на энергоэффективность
Законы подобия для центробежных механизмов
Для насосов и вентиляторов действуют фундаментальные зависимости:
Кубическая зависимость мощности означает, что снижение частоты вращения в 2 раза приводит к уменьшению энергопотребления в 8 раз. Практический пример: снижение рабочей частоты на 20% (с 50 до 40 Гц) может уменьшить потребление электроэнергии приблизительно вдвое.
Экономический эффект от применения ЧРП
Типичная экономия электроэнергии:
-
Насосные установки: 30-60%
-
Вентиляционные системы: до 50%
-
Компрессорные установки: 20-40%
-
Конвейерное оборудование: 25-35%
Пример расчета экономии для насосной станции:
Исходные данные:
Расчет экономии:

-
При тарифе 7 руб/кВт·ч годовая экономия составит 613 200 рублей.
Роль частоты вращения в обеспечении безопасности
Защитные функции частотных преобразователей
Современные ЧРП обеспечивают комплексную защиту:
-
Защита от перегрузки по току: автоматическое снижение частоты при превышении 110% номинального тока
-
Тепловая защита двигателя: контроль температуры обмоток с помощью встроенных датчиков или тепловой модели
-
Защита от обрыва/перекоса фаз: мгновенное отключение при нарушении симметрии питания
-
Защита от короткого замыкания: отключение в течение 10 мкс
-
Защита от перенапряжения: ограничение напряжения в звене постоянного тока
-
Плавный пуск и его значение
Частотное регулирование обеспечивает:
-
Снижение пусковых токов с типичных 5-7 номинальных значений до 1,5-2 номинальных
-
Устранение механических ударов при пуске
-
Предотвращение гидроударов в насосных системах
-
Увеличение срока службы подшипниковых узлов на 30-50%
-
Отраслевые применения регулирования частоты
Насосные системы
Технические решения:
-
Поддержание постоянного давления по сигналу датчика: ±0,1 бар
-
Каскадное управление несколькими насосами
-
Защита от сухого хода и кавитации
-
Энергосбережение: 50-75% для центробежных насосов
-
Вентиляционные установки
Функциональные возможности:
-
Поддержание постоянного расхода воздуха: ±5%
-
Компенсация загрязнения фильтров
-
Сезонное регулирование производительности
-
Снижение шума на 15-20 дБА при уменьшении скорости на 50%
-
Конвейерное оборудование
Специализированные функции:
-
Синхронизация скоростей нескольких приводов: точность ±0,1%
-
Режим "мастер-ведомый" для технологических линий
-
Плавное ускорение и торможение: время разгона 10-300 с
-
Позиционирование с точностью ±1 мм
-
Холодильная техника
Особенности применения:
-
Регулирование компрессоров по температуре испарения
-
Управление вентиляторами конденсаторов по давлению конденсации
-
Повышение COP (коэффициента преобразования) на 15-25%
-
Окупаемость: 0,5-1,5 года для компрессоров, 7-14 месяцев для вентиляторов
-
Критерии выбора системы регулирования частоты
Технические параметры ЧРП
|
Параметр
|
Требования
|
Примечания
|
|
Номинальная мощность
|
+10-20% от мощности двигателя
|
Запас на пусковые режимы
|
|
Диапазон частот
|
0,5-400 Гц стандартно
|
Расширенный диапазон для специальных применений
|
|
Точность регулирования
|
±0,01% для высокоточных задач
|
±0,5% для стандартных применений
|
|
Класс защиты
|
IP20 для шкафного монтажа, IP54 для открытой установки
|
Соответствие условиям эксплуатации
|
|
Длина моторного кабеля
|
До 50 м без дросселя, до 200 м с дросселем
|
Защита от перенапряжений dv/dt
|
Экономическая эффективность внедрения ЧРП
Методика расчета окупаемости
Срок окупаемости рассчитывается по формуле:

Типичные сроки окупаемости:
-
Насосные установки: 5-18 месяцев (при круглосуточной работе — 5-6 месяцев)
-
Вентиляторы: 7-14 месяцев
-
Компрессоры: 12-24 месяца
-
Конвейеры: 18-36 месяцев
В большинстве случаев экономическая эффективность подтверждается в течение 1,5 лет.
Технические аспекты эксплуатации
Критически важные инженерные требования
Электромагнитная совместимость (ЭМС):
-
Экранированные кабели с заземлением 360°
-
Сетевые дроссели при мощности > 5 кВт
-
Моторные дроссели при длине кабеля > 50 м
-
Соответствие требованиям IEC 61800-3 для систем электропривода
Важное уточнение: ГОСТ 32144-2013 устанавливает нормы качества электрической энергии в системах электроснабжения общего назначения и НЕ является стандартом ЭМС для конкретного оборудования. Для ЭМС частотных преобразователей применяется международный стандарт IEC 61800-3.
Охлаждение двигателя на низких скоростях:
Регламент технического обслуживания
Ежемесячно:
-
Контроль температурного режима (< 60°С для силовых модулей)
-
Проверка работы вентиляторов охлаждения
-
Визуальный осмотр силовых соединений
Ежеквартально:
-
Очистка/замена воздушных фильтров
-
Проверка затяжки контактных соединений (момент 8-12 Н·м)
-
Тестирование защитных функций
Ежегодно:
-
Полная диагностика системы
-
Проверка изоляции силовых цепей (> 1 МОм)
-
Калибровка датчиков обратной связи
Практические рекомендации по внедрению
Типичные ошибки и их предотвращение
-
Недооценка гармонических искажений:
-
Неправильный выбор длины кабеля:
-
Игнорирование требований заземления:
Алгоритм успешного внедрения
Перспективы развития технологий
Современные тенденции
Интеграция с промышленными сетями:
-
Поддержка протоколов Ethernet/IP, Profinet, EtherCAT
-
Беспроводные технологии для удаленного мониторинга
-
Интеграция с MES и ERP системами
Применение искусственного интеллекта:
-
Самообучающиеся алгоритмы оптимизации
-
Предиктивная диагностика на базе машинного обучения
-
Адаптивное управление под изменяющиеся условия
Энергетические инновации:
-
Активные фронтальные выпрямители (AFE) с
-
cosφ≈1
-
cosφ≈1
-
Многоуровневые инверторы с улучшенным качеством напряжения
-
Системы рекуперации энергии торможения
Заключение
Частота вращения электродвигателя в современной промышленности является стратегическим параметром, определяющим не только энергоэффективность производства, но и его конкурентоспособность. Правильное применение систем частотного регулирования позволяет достичь экономии электроэнергии до 60%, значительно повысить надежность оборудования и улучшить качество технологических процессов.
Для корректного выбора и внедрения систем регулирования частоты критически важно учитывать специфику технологического процесса, характер нагрузки, требования к точности управления и условия эксплуатации. Современные частотные преобразователи с векторным управлением, встроенными системами защиты и возможностями интеграции в промышленные сети обеспечивают оптимальное соотношение производительности, надежности и экономической эффективности.
Рекомендуется привлекать квалифицированных специалистов на всех этапах внедрения — от технического обследования до пусконаладочных работ. Неукоснительно соблюдайте требования нормативных документов ПУЭ, IEC 61800-3 для систем электропривода и технических условий производителей оборудования. Только комплексный подход к проектированию, монтажу и эксплуатации систем частотного регулирования гарантирует достижение заявленных технико-экономических показателей и долговременную надежность работы оборудования.