Принцип работы и классификация редукторов
Основные функции редуктора
Редуктор представляет собой механическую передачу, предназначенную для:
-
Снижения частоты вращения выходного вала
-
Пропорционального увеличения крутящего момента
-
Изменения направления передачи движения
-
Обеспечения требуемого пространственного расположения валов
Классификация по конструктивному исполнению
Таблица 1. Типы редукторов и их основные характеристики
|
Тип редуктора
|
Ступени
|
Передаточное число
|
Расположение осей
|
КПД (%)
|
Область применения
|
|
Цилиндрический
|
1-4
|
1,6-250
|
Параллельное/соосное
|
95-98
|
Конвейеры, мельницы, насосы
|
|
Червячный
|
1-2
|
8-10000
|
Скрещивающееся
|
50-90
|
Подъемники, поворотные устройства
|
|
Конический
|
1
|
1-6
|
Пересекающееся
|
94-96
|
Угловые приводы
|
|
Планетарный
|
1-3
|
3-500
|
Соосное
|
95-97
|
Робототехника, сервоприводы
|
|
Волновой
|
1
|
63-315
|
Соосное
|
65-83
|
Прецизионное оборудование
|
Особенности различных типов
Цилиндрические редукторы обеспечивают максимальный КПД до 98% и применяются в приводах с высокими требованиями к энергоэффективности. Передача осуществляется цилиндрическими зубчатыми колесами с прямыми, косыми или шевронными зубьями.
Червячные редукторы характеризуются компактностью и возможностью получения больших передаточных чисел в одной ступени. Критически важно учитывать снижение КПД при увеличении передаточного числа.
Планетарные редукторы обеспечивают высокую нагрузочную способность при компактных размерах благодаря распределению нагрузки между несколькими планетарными шестернями.
Ключевые технические параметры
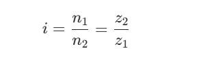
Передаточное число
Передаточное число определяется по формуле:
Важно отметить: для промышленных редукторов максимальная частота вращения входного вала не должна превышать 1500 об/мин, за исключением цилиндрических соосных моделей (до 3000 об/мин).
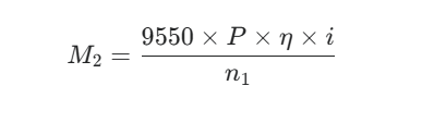
Крутящий момент
Различают несколько видов крутящего момента:
Формула расчета крутящего момента на выходном валу:

Сервис-фактор
Таблица 2. Значения сервис-фактора
|
Тип нагрузки
|
Пуски/час
|
Продолжительность работы (ч/сут)
|
|
|
<8
|
|
Равномерная
|
<10
|
1,0
|
|
Умеренные толчки
|
<10
|
1,25
|
|
Сильные толчки
|
<10
|
1,5
|
Методика выбора редуктора
Этап 1: Определение исходных данных
Для корректного выбора необходимо определить:

Этап 2: Расчет передаточного числа

Этап 3: Определение сервис-фактора
Используя таблицу 2, определите значение Sf исходя из:
Этап 4: Выбор типоразмера

Расчет эффективности
Коэффициент полезного действия
КПД редуктора определяется по формуле:
Таблица 3. КПД различных типов редукторов
|
Тип редуктора
|
Одноступенчатый
|
Двухступенчатый
|
Трехступенчатый
|
|
Цилиндрический
|
96-98%
|
94-96%
|
92-94%
|
|
Червячный (i<20)
|
75-85%
|
65-75%
|
—
|
|
Червячный (i>20)
|
50-75%
|
45-65%
|
—
|
|
Планетарный
|
95-97%
|
92-95%
|
88-92%
|
Факторы, влияющие на КПД
-
Тип передачи — цилиндрические обеспечивают максимальный КПД
-
Передаточное число — увеличение снижает КПД
-
Качество смазки — критически важно для долговечности
-
Износ деталей — снижает эффективность со временем
Практический пример расчета
Задача: Подобрать редуктор для конвейера
Исходные данные:
Расчет:
-
Сервис-фактор: Sf=1,75 (из таблицы 2)
-
Выбор: Цилиндрический редуктор 2-ступенчатый с Mn2≥1312,5 Н·м
-
Проверка мощности:
Вывод:
Монтаж и техническое обслуживание
Требования к монтажу
Критически важно обеспечить:
-
Точную центровку валов — радиальное смещение не более 0,1 мм
-
Правильный момент затяжки — согласно документации производителя
-
Корректный уровень масла — по маслоуказателю
-
Жесткое основание — для исключения вибраций
Регламент обслуживания
Ежедневный контроль:
Периодическое обслуживание:
-
Замена масла через 3000-5000 часов
-
Проверка крепежных соединений
-
Контроль состояния уплотнений
-
Анализ масла при непрерывной работе
Типичные ошибки и рекомендации
Критические ошибки
-
Недооценка сервис-фактора — приводит к перегрузке и преждевременному износу
-
Неправильный выбор типа — снижение общей эффективности системы
-
Игнорирование радиальных нагрузок — ускоренный износ подшипников
-
Несоответствие условиям среды — коррозия и загрязнение
Практические рекомендации
-
Всегда закладывайте запас по моменту 15-25%
-
Учитывайте динамические нагрузки при пуске оборудования
-
Выбирайте соответствующий класс защиты IP для условий эксплуатации
-
Консультируйтесь с производителем при нестандартных применениях
Выбор по условиям применения
Цилиндрические редукторы рекомендуются для:
Червячные редукторы применяются при:
-
Необходимости больших передаточных чисел
-
Ограниченном монтажном пространстве
-
Требованиях к самоторможению
-
Малых и средних мощностях
Планетарные редукторы выбирают для:
-
Высокоточных позиционных систем
-
Компактных приводов большой мощности
-
Робототехнических комплексов
-
Сервоприводов с малыми люфтами
Заключение
Правильный выбор редуктора требует системного подхода, учитывающего не только номинальные характеристики, но и реальные условия эксплуатации. Критически важно использовать корректные значения сервис-фактора, проводить тепловые расчеты для червячных передач и обеспечивать качественный монтаж с соблюдением требований центровки.
Критически важно помнить:
-
Соблюдение методики поэтапного выбора
-
Обязательный учет сервис-фактора в расчетах
-
Регулярное техническое обслуживание согласно регламенту
-
Использование только рекомендованных смазочных материалов
Неукоснительно следуйте требованиям ГОСТ 21354-87 и технической документации производителя для обеспечения надежной работы редукторного привода на протяжении всего расчетного срока службы.