Рассказываем, как классы изоляции защищают электродвигатели от температурного воздействия, какие материалы выдерживают экстремальные условия и почему правильный выбор класса может продлить жизнь оборудования с 5 до 25 лет.
Нормативная база: на что опираться при выборе
Классификация изоляционных систем по термической стойкости строго регламентирована международными стандартами:
Основные документы:
-
МЭК 60034-1 — определяет номинальные данные и характеристики вращающихся электрических машин
-
МЭК 60085 — классификация электрической изоляции по термическим свойствам
-
ГОСТ 8865-93 — российский стандарт оценки нагревостойкости изоляционных систем
-
ГОСТ Р МЭК 60085-2011 — современная версия, гармонизированная с международными требованиями
Важно отметить: эти стандарты обеспечивают единые требования по всему миру, поэтому двигатель с классом изоляции F будет иметь одинаковые характеристики независимо от страны производства.
Полная классификация классов изоляции
Классы изоляции обозначаются латинскими буквами в порядке возрастания термостойкости:
|
Класс
|
Предельная температура, °C
|
Допустимый перегрев, K*
|
Расчетный ресурс, ч
|
Типичные материалы
|
|
Y
|
90
|
40
|
~5 000
|
Бумага, хлопок, шелк без пропитки
|
|
A
|
105
|
60
|
~20 000
|
Органические материалы с пропиткой
|
|
E
|
120
|
75
|
~30 000
|
Синтетические пленки и ткани
|
|
B
|
130
|
80
|
~40 000
|
Слюда, стекловолокно с органическими связующими
|
|
F
|
155
|
100
|
~60 000
|
Композиты с высокотемпературными связующими
|
|
H
|
180
|
125
|
~100 000
|
Кремнийорганические системы
|
|
C
|
>180
|
>125
|
>100 000
|
Керамика, кварц, чистая слюда
|
Перегрев указан для стандартной температуры окружающей среды 40°C
Детальная характеристика каждого класса
Класс Y (90°C) — морально устаревший
Использует простейшие материалы: необработанные хлопчатобумажные ткани, шелк, целлюлозную бумагу без какой-либо пропитки. Сегодня этот класс практически не встречается в серьезном оборудовании из-за крайне низкой надежности — всего 5 000 часов работы.
Класс A (105°C) — с улучшенными свойствами
Те же базовые материалы, но с важным дополнением — пропиткой изолирующими составами или погружением в диэлектрические жидкости (трансформаторное масло). Это значительно улучшает влагостойкость и увеличивает ресурс до 20 000 часов. Класс A до сих пор применяется в некоторых трансформаторах и двигателях малой мощности.
Класс E (120°C) — синтетический переход
Класс E использует синтетические полимерные пленки (полиэтилентерефталат, полиимид) и ткани с соответствующими пропитками. Срок службы достигает 30 000 часов. Часто встречается в бытовых электроприборах и оборудовании средней мощности при стабильных температурных условиях.
Класс B (130°C) — рабочая лошадка промышленности
Изоляционная система базируется на неорганических материалах: слюде, стекловолокне с применением органических связующих (эпоксидные, полиэфирные смолы). Класс B широко распространен в промышленных электродвигателях, обеспечивая ресурс до 40 000 часов и допустимый перегрев 80K.
Класс F (155°C) — современный стандарт
Класс F стал золотым стандартом современной индустрии. Включает высококачественные композиции слюды, стекловолокна, синтетических материалов с высокотемпературными связующими. Обеспечивает ресурс 60 000 часов при допустимом перегреве 100K.
Расчет предельной температуры для класса F:
где 15K — температурный запас для учета локальных "горячих точек" в обмотке.
Класс H (180°C) — для экстремальных условий
Класс H использует кремнийорганические соединения (силиконовые смолы, эластомеры) и комбинации слюды со стекловолокном на силиконовых связующих. Выдерживает температуру до 180°C и обеспечивает ресурс до 100 000 часов. Это выбор для металлургии, оборудования с частыми пусками и других тяжелых условий.
Класс C (>180°C) — для специальных применений
Высший класс изоляции использует неорганические материалы: керамику, кварцевое стекло, чистую слюду без органических связующих. Может работать при температурах свыше 220°C. Из-за высокой сложности изготовления применяется только в авиации, космосе и атомной промышленности.
Математика процесса: как температура "убивает" изоляцию
Зависимость срока службы от температуры описывается эмпирическим правилом Монтзингера, также известным как "правило 10 градусов":

Практический пример расчета
Рассмотрим двигатель с классом изоляции F (номинальный ресурс 60 000 часов при 155°C), работающий при температуре 165°C:
Результат: превышение температуры всего на 10°C сокращает срок службы с 60 000 до 30 000 часов!
Таблица влияния перегрева на ресурс
|
Превышение температуры
|
Коэффициент ресурса
|
Класс F (60 000 ч)
|
Класс H (100 000 ч)
|
|
0°C (номинал)
|
1,0
|
60 000 часов
|
100 000 часов
|
|
+10°C
|
0,5
|
30 000 часов
|
50 000 часов
|
|
+20°C
|
0,25
|
15 000 часов
|
25 000 часов
|
|
+30°C
|
0,125
|
7 500 часов
|
12 500 часов
|
|
+40°C
|
0,0625
|
3 750 часов
|
6 250 часов
|
Классы защиты от поражения электрическим током
Важно отметить: не стоит путать классы нагревостойкости с классами защиты от поражения током, которые регламентируются стандартом МЭК 61140:
|
Класс
|
Символ
|
Принцип защиты
|
Применение
|
|
0
|
—
|
Только основная изоляция
|
Запрещен к производству
|
|
I
|
⏚
|
Основная изоляция + заземление
|
Промышленное оборудование
|
|
II
|
⧈
|
Двойная/усиленная изоляция
|
Электроинструмент
|
|
III
|
◊
|
Безопасное низкое напряжение
|
Специальные применения
|
Для промышленных электродвигателей чаще всего используется класс I с обязательным заземлением корпуса.
Методология выбора класса изоляции
Что нужно учитывать при выборе
Для правильного выбора класса изоляции необходимо проанализировать:
1. Температурные условия:
-
Реальная температура окружающей среды (не паспортные 25°C, а фактические 40-50°C)
-
Высота над уровнем моря (свыше 1000 м ухудшается теплоотдача)
-
Наличие внешних источников тепла
2. Режимы работы по МЭК 60034-1:
-
S1 — продолжительный режим
-
S2 — кратковременный режим
-
S3-S9 — повторно-кратковременные режимы с различными циклами
3. Характер нагрузки:
-
Постоянная или переменная нагрузка
-
Частота и величина перегрузок
-
Особенности пусковых режимов
4. Способ охлаждения:
-
Естественная конвекция (IC01)
-
Принудительное воздушное охлаждение (IC411)
-
Жидкостное охлаждение (IC81W)
Практическая методика расчета

Рекомендации по применению
Стандартные условия (офисы, склады, умеренный климат):
Тяжелые условия (металлургия, горячие цеха, частые пуски):
-
Класс H — при температуре среды свыше 50°C
-
Класс H — для оборудования с частыми пусками и остановками
-
Класс H — для взрывозащищенного исполнения (ограниченное охлаждение)
Специальные условия:
-
Класс C — авиация, космос, атомная промышленность
-
Класс H — погружные насосы, компрессоры
Современные проблемы: частотные преобразователи и их влияние
Широкое применение частотных преобразователей (ЧП) создает дополнительные проблемы для изоляции двигателей:
Основные проблемы при работе с ЧП:
1. Высшие гармоники тока:
-
Коэффициент гармонических искажений THD до 50-80%
-
Дополнительные потери в стали и меди
-
Увеличение нагрева обмоток на 10-20%
2. Крутые фронты напряжения (dv/dt):
-
Значения до 10-15 кВ/мкс при стандартных ШИМ-преобразователях
-
Концентрация электрического поля на первых витках обмотки
-
Ускоренная деградация межвитковой изоляции
3. Паразитные токи подшипников:
-
Высокочастотные токи через подшипники до нескольких ампер
-
Электроэрозионное повреждение беговых дорожек
-
Сокращение срока службы подшипников в 2-5 раз
Технические решения:
1. Фильтрация выходного напряжения:
-
dv/dt-фильтры (снижение крутизны фронтов до 500 В/мкс)
-
Синус-фильтры (практически синусоидальное напряжение)
-
LC-фильтры для подавления высших гармоник
2. Правильная прокладка кабелей:
-
Экранированные моторные кабели
-
Заземление экрана по технологии 360°
-
Ограничение длины кабеля (рекомендуется менее 50 м без фильтров)
3. Защита подшипников:
4. Повышение класса изоляции:
-
Использование класса F вместо B
-
Применение класса H для критичных применений
-
Специальная inverter-duty изоляция
Методы контроля температурного режима
Способы измерения температуры обмоток
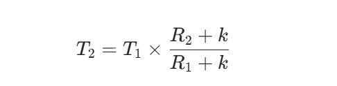
1. Метод сопротивления (стандартный по МЭК 60034-1):
Измеряется сопротивление обмотки в холодном и нагретом состоянии, затем рассчитывается средняя температура:
где k = 234,5 для меди, k = 228 для алюминия. Погрешность составляет ±3-5°C.
2. Встроенные датчики температуры:
|
Тип датчика
|
Диапазон, °C
|
Точность
|
Применение
|
|
PTC-термисторы
|
60-180
|
±5°C
|
Защитное отключение
|
|
NTC-термисторы
|
-40 до +150
|
±1°C
|
Точное измерение
|
|
Термопары (K, J)
|
-200 до +1000
|
±1-2°C
|
Широкий диапазон
|
|
Pt100/Pt1000
|
-200 до +600
|
±0,1°C
|
Высокая точность
|
3. Бесконтактные методы:
Допустимые температуры других узлов
|
Элемент
|
Предельная температура, °C
|
Метод контроля
|
|
Подшипники качения
|
95-100
|
Термометр на наружном кольце
|
|
Подшипники скольжения
|
80-85
|
Температура масла
|
|
Коллектор, контактные кольца
|
105-110
|
Контактный термометр
|
|
Горячие точки обмоток
|
T_средняя + 10-15K
|
Расчетная оценка
|
Практические рекомендации по эксплуатации
Что контролировать для надежной работы
1. Качество электропитания:
-
Отклонения напряжения ±5% критичны для нагрева
-
Несимметрия фаз более 2% увеличивает нагрев на 15-25%
-
Содержание высших гармоник более 5% требует снижения нагрузки
2. Условия охлаждения:
-
Регулярная очистка ребер и каналов охлаждения
-
Контроль работоспособности вентиляторов
-
Обеспечение свободной циркуляции воздуха
3. Мониторинг состояния:
-
Периодические измерения сопротивления изоляции
-
Контроль температуры подшипников
-
Тепловизионное обследование 1-2 раза в год
Признаки перегрева двигателя
Визуальные признаки:
-
Потемнение или обугливание изоляции
-
Деформация изоляционных деталей
-
Выделение дыма или характерного запаха
Измерительные признаки:
-
Снижение сопротивления изоляции ниже 1 МОм
-
Снижение индекса поляризации PI < 2
-
Рост температуры обмоток при номинальной нагрузке
Профилактические мероприятия
1. Регулярное техническое обслуживание:
-
Очистка от пыли и загрязнений каждые 3-6 месяцев
-
Проверка креплений и электрических соединений
-
Контроль состояния подшипников
2. Мониторинг параметров:
-
Измерение сопротивления изоляции каждые 6-12 месяцев
-
Контроль температуры при различных нагрузках
-
Ведение журнала эксплуатации
3. Предиктивное обслуживание:
-
Анализ трендов температуры и сопротивления изоляции
-
Планирование замены на основе прогнозных моделей
-
Использование систем непрерывного мониторинга
Заключение
Правильный выбор класса изоляции электродвигателя — это не техническая формальность, а стратегическое решение, влияющее на надежность производства. Класс F остается оптимальным выбором для большинства применений, класс H необходим для тяжелых условий, а более низкие классы сегодня практически не используются в серьезном оборудовании.
Ключевые принципы:
-
Всегда закладывайте температурный запас — лучше переплатить за более высокий класс изоляции, чем потом бороться с последствиями перегрева
-
Класс F — универсальное решение для 80% промышленных применений
-
Класс H — обязателен при работе с частотными преобразователями, в горячих цехах и для взрывозащищенного оборудования
Регулярный контроль температуры и своевременное обслуживание продлевают жизнь любого электродвигателя